图算法(五)关键路径
AOV网 和 AOE网
顶点活动(Activity On Vertex,AOV)网是指用顶点表示活动,而用边集表示活动间优先关系的有向图。例如图10-57 的先导课程示意图就是 AOV 网,其中图的顶点表示各项课程也就是“活动”;有向边表示课程的先导关系,也就是“活动间的优先关系”。显然,图中不应当存在有向环,否则会让优先关系出现逻辑错误。
边活动(Activity On Edge,AE)网是指用带权的边集表示活动,而用顶点表示事件的有向图,其中边权表示完成活动需要的时间。
例如图10-59 中,边$a_1 … a_6$表示需要学习的课程,也就是“活动”,边权表示课程学习需要消耗的时间; 顶点$V_1 … V_6$表示到此刻为止前面的课程已经学完,后面的课程可以开始学习,也就是“事件”(如 V~5~表示a~4~计算方法和a~5~实变函数已经学完,a~6~泛函分析可以开始学习。从另一个角度来看,a~6~只有当a~4~和a~5~都完成时才能开始进行,因此当a~4~计算方法学习完毕后必须等待a~5~实变函数学习完成后才能进入到a~6~泛函分析的学习),显然“事件”仅代表一个中介状态。

最长路径
一般来说,AOE网用来表示一个工程的进行过程,而工程常常可以分为若干个子工程(即“活动”),显然AOE 网不应当有环,否则会出现和AOV 网一样的逻辑问题(因此可以认为AOV网和AOE网都是有向无环图)。考虑到对工程来说总会有一个起始时刻和结束时刻,因此AOV 网一般只有一个源点(即入度为0的点)和一个汇点(即出度为0的点)。
既然AOE 网是基于工程提出的概念,那么一定有其需要解决的问题。AOE 网需要着重解决两个问题: a.工程起始到终止至少需要多少时间; b.哪条(些)路径上的活动是影响整个工程进度的关键。
以图 10-59 为例,由于完成 “a~1~空间解析几何”、“a~3~复变函数”、“a~5~实变函数” 共需要120天,因此在 “a~2~高等代数” 准时完成的前提下,“a~4~计算方法” 可以有40天的弹性时间. 即只要在第41~81天开始学习 “a~4~计算方法” ,都能赶在 “a~5~实变函数” 完成之前完成,从而进入 “a~6~泛函分析” 的学习。显然,“a~1~空间解析几何”、“a~3~复变函数”、“a~5~实变函数”、“a~6~泛函分析” 这4个活动是最关键的,因为推迟这4个活动中的任何一个的开始时间,都会使整个工程的完成时间变长. AOE 网中的最长路径被称为关键路径(强调:关键路径就是AOE网的最长路径),而把关键路径上的活动称为关键活动,显然关键活动会影响整个工程的进度。
关键路径
对一个没有正环的图(指从源点可达的正环,下同),如果需要求最长路径长度,则可以把所有边的边权乘以-1,令其变为相反数,然后使用 Bellman-Ford 算法或SPFA算法求最短路径长度,将所得结果取反即可。注意:此处不能使用 Diikstra 算法,原因是 Dikstra 算法不能处理负边权的情况,即便原图的边权均为正,乘以-1 之后也会出现负权。
显然,如果图中有正环,那么最长路径是不存在的。但是,如果需要求最长简单路径(也就是每个顶点最多只经过一次的路径),那么虽然最长简单路径本身存在,却没有办法通过Bellman-Ford 等算法来求解,原因是最长路径问题是NP-Hard 问题(也就是没有多项式时间复杂度算法的问题)。注:最长路径问题,即Longest Path Problem,寻求的是图中的最长简单路径。而如果求的是有向无环图的最长路径长度,则要讨论的关键路径的求法可以比上面的做法更快。
最早开始时间 和 最迟开始时间
由于AOE网实际上是有向无环图,而关键路径是图中的最长路径,因此本节实际上给出了一种求解有向无环图(DAG)中最长路径的方法。
由于关键活动是那些不允许拖延的活动,因此这些活动的最早开始时间必须等于最迟开始时间(例如 a~4~ 计算方法的最早开始时间是第41天,最迟开始时间是第81天;而 a~5~ 实变函数的最早开始时间和最迟开始时间都是第 71 天)。因此可以设置数组e和1,其中e[r]和l[r]分别表示活动 a~r~ 的最早开始时间和最迟开始时间。于是,当求出这两个数组之后,就可以通过判断 e[r]==l[r] 是否成立来确定活动r是否是关键活动。

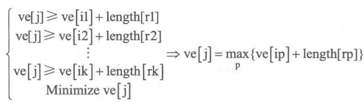
如图10-62所示,事件Vi在经过活动ar之后到达事件Vj。注意到顶点作为事件,也有拖延的可能,因此会存在最早发生时间和最迟发生时间。其中事件的最早发生时间可以理解成旧活动的最早结束时间,事件的最迟发生时间可以理解成新活动的最迟开始时间。设置数组 ve 和 vl,其中 ve[i] 和 vl[i] 分别表示事件i的最早发生时间和最迟发生时间,然后就可以将求解 e[r]和 l[r] 转换成求解这两个新的数组:
- 对活动
ar来说,只要在事件Vi最早发生时马上开始,就可以使得活动ar的开始时间最早,因此e[r]=ve[i]。 - 如果
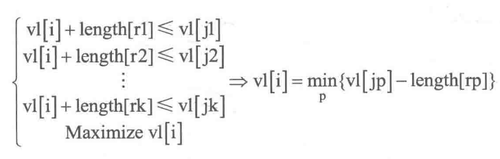
l[r]是活动ar的最迟发生时间,那么l[r] + length[r]就是事件Vj的最迟发生时间。因此l[r]=vl[i]-length[r]。
ve[], vl[] 求解
可以利用拓扑排序进行求解, 例如 ve[] , 对于节点 i, 需要知道所有前驱的 ve 然后加上活动边的花费, 取其最大者. 观察拓扑排序求解, 发现每次都会选择没有前驱的节点, 因而可以直接求解, 这样再更新指向的所有节点, 即可.

对于 vl[], 设有节点i, 它的所有后继节点的 vl 已知, 则i的vl值就是后继结点减去对应边权的最小值

// @FileName: criticalpath.cpp
// @CreateTime: 2023/03/28 16:24:44
// @Author: Rainbow River
#include<iostream>
#include<iostream>
#include<queue>
#include<stack>
using namespace std;
struct node{
int v, w;
node(int v, int w){
this->v = v;
this->w = w;
}
};
const int MAXN = 101; // 各种意义的上限, 例如边权、顶点数、边数都不超过该值
vector<node> graph[MAXN]; // 邻接表
int ver_n, adj_n; // 顶点数, 边数
int e[MAXN], l[MAXN], ve[MAXN], vl[MAXN], indeg[MAXN];
stack<int> topo_seq;
void fill(int a[], int n, int val);
void init_graph();
bool topo();
void fill_vl(int vle);
void critical_path();
void fill(int a[], int n, int val){
for(int i=0; i<n; i++)
a[i] = val;
}
void init_graph(){
cin >> ver_n >> adj_n;
for(int i=0; i<adj_n; i++){
int v1, v2, w;
cin >> v1 >> v2 >> w;
graph[v1].push_back(node(v2, w));
indeg[v2]++;
}
}
bool topo(){
queue<int> wrkq;
for(int i=0; i<ver_n; i++)
if(indeg[i] == 0)
wrkq.push(i);
while (!wrkq.empty()){
int rt = wrkq.front();
for(node nd: graph[rt]){
if(ve[nd.v] < ve[rt]+nd.w)
ve[nd.v] = ve[rt]+nd.w; // 更新 邻居事件的 最早发生时间
if(--indeg[nd.v] == 0)
wrkq.push(nd.v);
}
wrkq.pop();
topo_seq.push(rt); // 加入拓扑序列
}
return topo_seq.size() == ver_n;
}
// 计算 vl[], vle是 ve[l], l是拓扑排序的最后一位
void fill_vl(int vle){
fill(vl, ver_n, vle);
while (!topo_seq.empty()){
int v = topo_seq.top();
for(node nd: graph[v]){
if(vl[nd.v]-nd.w < vl[v]){
vl[v] = vl[nd.v]-nd.w;
}
}
topo_seq.pop();
}
}
// critical path solution
void critical_path(){
for(int i=0; i<ver_n; i++){
for(node nd: graph[i]){
// 活动边 (i, nd.v) 最早开始时间也即是 始点事件i 的最早发生时间
// 活动边 (i, nd.v) 最迟开始时间也即是 终点事件i 的最迟发生时间减去活动时间
if(ve[i] == vl[nd.v]-nd.w){
cout<<i<<" -> "<<nd.v<<" ("<<nd.w<<")"<<endl;
}
}
}
}
int main(){
init_graph(); // 数据输入
topo(); // 获取拓扑序列同时求解 ve[]
fill_vl(ve[ver_n-1]); // 求解 vl[]
critical_path(); // 输出关键活动
cout << "Total time is " << ve[ver_n-1] <<" at least."<< endl;
return 0;
}
/*
5 8
0 1 6
0 2 4
0 3 3
3 1 4
1 4 5
3 2 2
2 4 7
3 4 8
*/
结语
即便图中有多条关键路径,但如果只要求输出关键活动,按上面的写法已经可以了。如果要完整输出所有关键路径,就需要把关键活动存下来,方法就是新建一个邻接表,当确定边 u->v 是关键活动时,将边u - v加入邻接表。这样最后生成的邻接表就是所有关键路径合成的图了,可以用DFS 遍历来获取所有关键路径(具体实现就留给读者完成吧)。最后指出,使用动态规划的做法可以让读者能更简洁地求解关键路径(具体做法参见11.6节)。